TDLI Newsletter 2026 Spring

2026-03-31
 
   
https://stratus.campaign-image.com.cn/images/21155000000597004_zc_v1_1734587510163_李所logo.png

 

TDLI Newsletter 

2026 Spring

https://campaign-image.com.cn/zohocampaigns/21155000000597004_zc_v148_1679554740207_dsc04922_(1).jpg
     

 

TDLI News

 

https://stratus.campaign-image.com.cn/images/21155000000597004_zc_v1_1711086082234_tdli_annual_review_and_2024_outlook_meeting.jpg

First "Tianwen" National Forum for Physics and Astronomy Undergraduates Held at TDLI

From January 24th to 27th, the Tsung-Dao Lee Institute (TDLI) successfully hosted the first "Tianwen" National Forum for Physics and Astronomy Outstanding Undergraduates. Jointly organized with the Chinese Physical Society, the forum attracted over 150 top students from elite universities like Peking University and Tsinghua University. The four-day event featured keynote speeches by Nobel Laureate Frank Wilczek and Academician Jie Zhang, alongside student oral presentations and laboratory tours. By fostering deep academic exchange and showcasing cutting-edge research, the forum successfully built a high-level platform to inspire the next generation of scientific leaders in fundamental physics and astronomy. Read More

https://stratus.campaign-image.com.cn/images/21155000000597004_zc_v1_1711086082234_tdli_annual_review_and_2024_outlook_meeting.jpg

Nobel Laureate and TDLI Scientists Headline "Milky Way Forum" at Shanghai Astronomy Museum

On January 30th, TDLI and Shanghai Astronomy Museum co-hosted the "Milky Way Forum" themed "Embrace the Vastness, Master the Minute." Nobel Laureate Frank Wilczek joined esteemed scientists, including Academician Jianwei Pan and Professor Dong Lai, to explore the deep connections between quantum mechanics and the cosmos. The experts discussed cutting-edge topics like axions and dark matter with a diverse public audience. This collaboration highlights TDLI’s commitment to high-level science outreach, inspiring public interest in the fundamental laws of nature.  Read More

https://stratus.campaign-image.com.cn/images/21155000000597004_zc_v1_1743043508656_爱思唯尔.jpg

Academician Hong Ding Receives Ho Leung Ho Lee Science Award

Hong Ding, CAS Academician from TDLI, has been awarded the 2025 Ho Leung Ho Lee Foundation Prize for Scientific and Technological Progress. A leading experimental physicist in condensed matter physics, Hong Ding is renowned for pioneering discoveries in high-temperature superconductors and topological materials, including the first observation of Weyl fermions in solids. His work has significantly advanced quantum materials research and strengthened China’s global impact in fundamental science and innovation. Read More

SJTU Unveils New Cornerstone Science Laboratory

On March 23, 2025, SJTU its fifth New Cornerstone Science Laboratory. The facility supports Dao Xiang, a professor at TDLI, School of Physics and Astronomy, Zhangjiang Institute for Advanced Study, in his "0 to 1" original research on accelerator-based ultrafast science. President Kuiling Ding praised the project's role in advancing high-level scientific self-reliance through long-term stable funding. Read More

https://stratus.campaign-image.com.cn/images/21155000000597004_zc_v1_1774506462346_新基石.jpg
https://stratus.campaign-image.com.cn/images/21155000000597004_zc_v1_1743043508656_爱思唯尔.jpg

Academician Jie Zhang Shares Vision on Laser Fusion with Shanghai Youth

On March 23, Academician Jie Zhang, Director of TDLI, delivered a keynote speech titled "Lighting the Future with Laser Fusion" at the "Climbing Lecture" event in Shanghai. He described nuclear fusion as humanity's "ultimate energy" due to its high energy density and safety advantages. He encouraged young people to seize opportunities in China's accelerating technological development and contribute to human civilization through scientific innovation. Over 200 youth representatives attended the dialogue session at Zhangjiang Science City. Read More

Prof. Donglian Xu Honored as SJTU “March 8th Red-Banner Holder”

Prof. Donglian Xu from TDLI has been awarded the 2025 "March 8th Red-Banner Holder" title. Since joining SJTU in 2018, she has led the interdisciplinary "TRIDENT Project," advancing deep-sea neutrino detection and key technologies, with Phase I expected by 2026/2027. Committed to education, she integrates research and teaching to cultivate globally competitive young scientists. Read More

Prof. Shao-Feng Ge Honored as SJTU "Top 10 Class Advisors"

In February 2026, Prof. Shao-Feng Ge from TDLI was named one of Shanghai Jiao Tong University’s "Top 10 Class Advisors." Recognized for his mentorship of the Zhiyuan Physics Class, Prof. Ge integrates cutting-edge research with student care, fostering a high-achieving academic environment and supporting international research opportunities for his students. Read More

     

Events

https://campaign-image.com.cn/zohocampaigns/21155000000597004_zc_v29_1678863658752_5.jpg

No.30 T. D. Lee Colloquium by Professor Isabelle Baraffe

On March 5th, Professor Isabelle Baraffe from the University of Exeter was invited to visit TDLI and deliver the 30th T. D. Lee Colloquium entitled "Inside Stars: secrets revealed by multi-dimensional hydrodynamical simulations of stellar interiors". Nearly 60 faculty members and students attended in person, including TDLI Deputy Director Xiaohu Yang and Chair Professor Dong Lai. The live broadcast on the Koushare platform garnered a total of 12k views. Professor Dong Lai chaired this edition of the T. D. Lee Colloquium. Read More

https://stratus.campaign-image.com.cn/images/21155000000597004_zc_v1_1773906405597_winter_intensive_study_program.jpg

TDLI's Inaugural "Hanxi" Winter Program for Undergraduates Concludes


The first "Hanxi" Winter Intensive Study Program (WISP) in astrophysics was successfully held at TDLI in January 2026. The program offered top undergraduate students from leading universities a highly personalized, three-day research immersion. Participants engaged in deep discussions with faculty and completed mini research projects under one-on-one mentorship. The initiative aimed to ignite passion for astronomy by providing hands-on experience in a vibrant, international research environment. Read More
https://stratus.campaign-image.com.cn/images/21155000000597004_zc_v1_1773906519928_winter_school.jpg
Joint TDLI & INPAC Winter School in Particle Physics 2026 Successfully Held in TDLI

The School was held from January 27th to 31st in Shanghai. Co-organized by TDLI and the School of Physics and Astronomy of Shanghai Jiao Tong University, and Southeast University, the program brought together 53 outstanding undergraduate students from nearly 30 universities worldwide. Through lectures and discussions, participants explored key topics including Higgs physics, dark matter detection, and neutrino oscillations. The five-day intensive program provided students with direct interaction with leading experts and a systematic introduction to cutting-edge research in particle physics.  Read More

https://stratus.campaign-image.com.cn/images/21155000000597004_zc_v1_1773906519928_winter_school.jpg
Nobel Laureate Frank Wilczek Returns for 3rd Annual Lecture Series at Zhiyuan College

From January 19th to 23rd, 2026, Nobel Laureate and TDLI Chief Scientist Professor Frank Wilczek delivered his third prestigious lecture series at Zhiyuan College. Attended by nearly 200 elite physics students nationwide, the course explored cutting-edge topics including gravitational waves and quantum radiation. The program integrated theoretical lectures with visits to key laboratories and T.D.Lee Library. This immersive experience combined rigorous physical theory with experimental practice and scientific heritage, further inspiring the next generation of global scientific leaders. Read More

https://stratus.campaign-image.com.cn/images/21155000000597004_zc_v1_1773906519928_winter_school.jpg
Workshop on Stellar and Planetary Physics Successfully Held at TDLI

The workshop focused on cutting-edge research in stellar, substellar, planetary physics, and related astrophysical fields. Topics broadly encompassed core areas such as stellar and planetary internal dynamics, mixing processes, asteroseismology, initial stellar mass function, massive star evolution, planetary gravitational fields and rotational dynamics, binary star interactions and evolution, stellar spectroscopic observations, brown dwarf observations, and exoplanet searches. Presentations centered on the latest breakthroughs in theoretical research, extended to the application of theory in astronomical observations and its challenges, and covered recent advances in observational directions. The workshop featured invited long talks and encouraged other participants to deliver 3-minute flash talks. Read More

     

Quick Takes

https://stratus.campaign-image.com.cn/images/21155000000597004_zc_v1_1696644294536_64846d87_09ac_4854_8f97_3ba73e682795.png

The Boundary Between Planet and Star Formation: The Brown Dwarf Desert

Based on a sample of 55 giant planets, brown dwarfs, and red dwarfs discovered in 2022, the team of Fabo Feng at TDLI of Shanghai Jiao Tong University has revealed that brown dwarfs with masses around 30 times that of Jupiter are extremely rare around Sun-like stars within orbital distances of 2 to 20 astronomical units. This finding indicates that the "brown dwarf desert," previously observed in short-period orbits, is a widespread phenomenon and represents a natural boundary between the formation mechanisms of planets and stars. The achievement has been published in the Proceedings of the National Academy of Sciences (PNAS) and was selected by the editors as a cover article. Read More

https://stratus.campaign-image.com.cn/images/21155000000597004_zc_v1_1696644294536_64846d87_09ac_4854_8f97_3ba73e682795.png

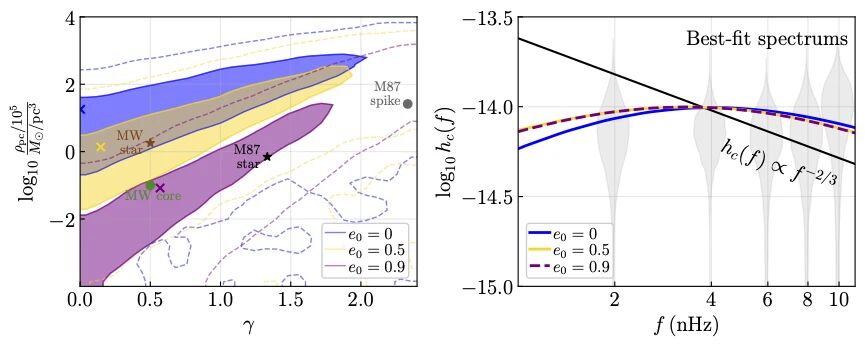
Low-Frequency Gravitational Waves as Probes of Galactic-Center Environments

A research team led by Yifan Chen, a tenure-track fellow at TDLI, Shanghai Jiao Tong University, has recently published a study in Nature Astronomy entitled "Inference on inner galaxy structure via gravitational waves from supermassive binaries". Using the nanohertz gravitational wave background detected by pulsar timing arrays (PTAs), the team has extracted key information on the matter distribution in galactic centers. Read More

https://stratus.campaign-image.com.cn/images/21155000000597004_zc_v1_1773969775620_海铃.png

TRIDENT : China’s Leap in Deep-Sea Neutrino Astronomy

High-energy neutrinos are key to unlocking the mysteries of cosmic rays. In Science & Technology Review, Donglian Xu and Academician Yipeng Jing  outlined the TRIDENT (Hai-Ling) Project—China’s next-gen neutrino telescope. While the current IceCube detector has proven the existence of these "cosmic messengers," TRIDENT aims for far greater precision. Using a unique Penrose Tiling array and hybrid sensors (hDOM), it will significantly improve angular resolution and flavor identification. Remarkably, TRIDENT could confirm the source NGC 1068 in just one year. Read More

     

Photos in TDLI

https://stratus.campaign-image.com.cn/images/21155000000597004_zc_v1_1686805277186_我们的午餐.png

TDLI Welcomes 2026 with Spectacular New Year Gala

On the evening of January 20th, 2026, TDLI held its "Galloping Across the Stars" New Year Gala at Tianwen Hall. The event featured a vibrant mix of K-pop dances, classical Mozart arias, and a humorous "research-themed" comedy sketch. A highlight was the performance by guest pianist Qilin Sun. The gala concluded with a moving farewell to departing faculty and a lucky draw, uniting the TDLI community for the upcoming "15th Five-Year Plan" journey.  Read More

https://stratus.campaign-image.com.cn/images/21155000000597004_zc_v1_1743043508656_爱思唯尔.jpg

TDLI Celebrates International Women's Day with Heritage and Health

On March 6th, 2026, the TDLI Union hosted a special "Intangible Cultural Heritage & Wellness" workshop to celebrate International Women's Day. Female faculty and staff handcrafted traditional herbal pillows using heritage fabrics and medicinal herbs. This event combined cultural appreciation with health awareness, fostering a supportive and vibrant community atmosphere within the institute. Read More

Intco Medical Donates to TDLI to Bolster Frontier Research

On March 30, 2026, Intco Medical donated high-quality nitrile gloves to TDLI. These essential supplies will support frontline researchers in dark matter detection and topological materials. This partnership highlights Intco’s commitment to corporate social responsibility and its dedication to advancing fundamental scientific exploration. Read More

https://stratus.campaign-image.com.cn/images/21155000000597004_zc_v1_1774935307913_英科医疗.jpeg
     

Student Corner

https://stratus.campaign-image.com.cn/images/21155000000597004_zc_v1_1686805277186_我们的午餐.png

Lunch with Nobel Laureate Frank Wilczek: A Feast for Thought

The 9th "Our Lunch" event at TDLI featured a lively discussion with Nobel Laureate Frank Wilczek. Over 30 doctoral students and postdoctoral researchers joined the chief scientist on January 27th. They explored topics from AI's role in research to interdisciplinary physics. Wilczek shared his journey from high-energy to condensed matter physics and encouraged young scientists to maintain broad curiosity and independent thinking. The two-hour session offered invaluable mentorship on asking impactful scientific questions. Read More

https://stratus.campaign-image.com.cn/images/21155000000597004_zc_v1_1773969331186_座谈会.png

TDLI Holds 2026 Spring Student Representative Symposium 

TDLI held its Spring 2026 Student Representative Symposium on March 16th to address the needs of graduating students. Chaired by Deputy Party Secretary Shushu Li, the meeting featured leadership including Party Secretary Zhe Chen and Deputy Director Xiaohu Yang. Students discussed career planning, graduation timelines, and international research opportunities. Faculty provided guidance on navigating the job market and balancing academic pressure. Party Secretary Zhe Chen encouraged students to align their personal goals with national strategic needs, promising that TDLI will continue optimizing its support systems to foster world-class scientific talent. Read More

https://stratus.campaign-image.com.cn/images/21155000000597004_zc_v1_1773969331186_座谈会.png

SJTU Physics and Astronomy Graduate Academic Day 2026 Successfully Held  

On March 25, 2026, TDLI, in partnership with the SJTU School of Physics and Astronomy, successfully hosted the Spring Graduate Academic Day. The event featured a prestigious keynote by Academician Enge Wang, who discussed "Full Quantum Effects" and the wave nature of protons. Highlighting TDLI's commitment to cultivating top-tier talent, the symposium showcased six elite doctoral presentations and 30 research posters. Professor Nanlin Wang and TDLI Party Secretary Zhe Chen joined school leadership to present awards, celebrating the innovative spirit of over 500 participating scholars. This collaboration continues to strengthen TDLI’s position as a premier hub for global academic exchange and scientific breakthrough. Read More

     

In the Media

https://stratus.campaign-image.com.cn/images/21155000000597004_zc_v1_1750748856859_新闻联播.png
     

Coming Events

https://stratus.campaign-image.com.cn/images/21155000000597004_zc_v1_1773902438261_summer_school.png

SJTU International Summer School on Physics 2026

DateJul.5-18, 2026

https://stratus.campaign-image.com.cn/images/21155000000597004_zc_v1_1773902861195_314d892d873820f818403ddd6c3b9e4f.png

 

 

李政道研究所2026年度本科生科研项目

 

 

 

SPCS 2026: 70th Anniversary of the Discovery of Parity Nonconservation and Prospects in Frontier Physics & SPCS 2026 Summer School

 

DateJun.21- 26, 2026

 

 

NuFact 2026 - The 27th International Workshop on Neutrinos from Accelerators

 

 

Date: Aug.31- Sept.5, 2026

 

 

TDLI & ZIAS & Zhangjiang  University Police Station & Bank of Communications  Badminton  Match

 

Date:  Friday evening, April 24

Location: Zhangjiang Institute for Advanced Study (ZIAS)

 
     

Editor: 汪雯 Wen Wang (wang.wen@sjtu.edu.cn)